咨询热线:
13832292224
网站首页
公司简介
最新资讯
产品展示
HW混流泵
SH双吸泵
潜水轴流泵
公司场景
资质荣誉
行业知识
销售网络
联系我们
河北广昊泵业有限公司,欢迎您的咨询!
产品展示
行业知识
公司场景
最新资讯
资质荣誉
产品导航
最新资讯
水泵安装的注意事项
什么是泵的气蚀
多级泵的结构说明
联系我们
地址:
河北省保定市安国市路景工业区
手机:
13832292224
邮箱:
7322274@qq.com
行业知识
当前位置:
首页
-
行业知识
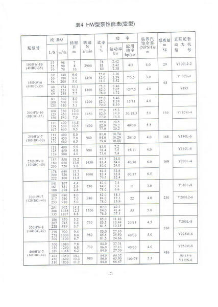
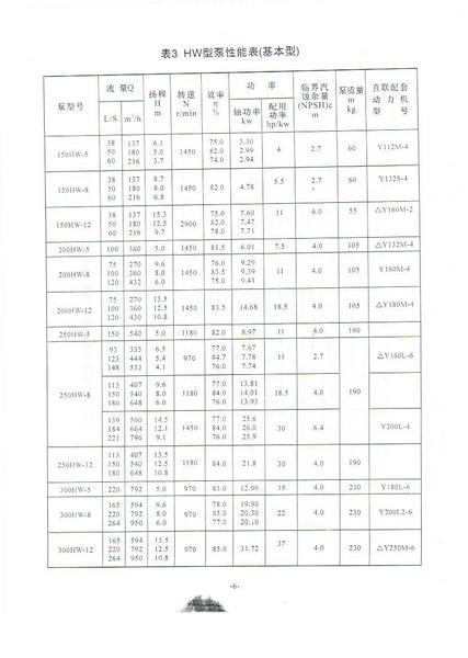
HW型泵性能表
发布时间:2016/01/08
点击量:
0
上一页:
混流泵的故障和排除
下一页:
混流泵的使用和保养
返回
友情链接:
百度
在线咨询
返回顶部